The Price of Fuel: How Bad Could It Get?
The cost of fuel in South Africa (and I imagine pretty much everywhere else) is a contentious topic. It varies from month to month and, although it is clearly related to the price of crude oil and the exchange rate, various other forces play an influential role.
According to the Department of Energy the majority of South Africa’s fuel is refined from imported crude oil. The rest is synthetic fuel produced locally from coal and natural gas. The largest expense for a fuel refinery is for raw materials. Little wonder that the cost of fuel should be intimately linked to the price of crude oil. The price of crude oil on the international market is quoted in US Dollars (USD) per barrel, so that the exchange rate between the South African Rand and the US Dollar (ZAR/USD) also exerts a strong influence on the South African fuel price.
I am going to adopt a simplistic model in which I’ll assume that the price of South African fuel depends on only those two factors: crude oil price and the ZAR/USD exchange rate. We’ll look at each of them individually before building the model.
Exchange Rate
The Rand reached a weak point against the USD in January 2002 when $1 cost around R11.70. After that it recovered and was relatively strong in 2005. However, since then it has been systematically weakening (with the exception of some brief intervals of recovery). At present (end of March 2015) you will pay around R12 for $1.
I guess this is part of the reason why new running shoes are so damn expensive.

Crude Oil Price
Crude oil has been getting progressively more expensive. The price of around $25 per barrel in 2000 escalated to a peak of roughly $135 per barrel in August 2008. This was followed by a massive decrease in price, bringing it down to only approximately $40 per barrel at the beginning of 2009. We have recently seen a similar dramatic decrease in the crude oil price (unfortunately, not as dramatic as the one in 2008).

Fuel Price
Back in 2000 you could get a litre of fuel in South Africa for around R3. Those were halcyon days. Since then the cost of fuel has been steadily increasing, with the exception of a sharp spike in 2008 and the recent decline starting towards the end of 2014.

Building Simple Models
If you’re not interested in the technical details of the model building process, feel free to skip forward to the results.
A clear linear relationship exists between the fuel price and the price of crude oil (plot on the left below, with Diesel in blue and Petrol in red). A power law relationship actually gives a tighter fit (see log-log plot on the right below). However, in the interests of simplicity we’ll stick to linear relationships.

We’ll put together three simple (and probably naive) linear models for the fuel price:
- an additive linear model depending on exchange rate and crude oil price;
- the same model but including the interaction between exchange rate and crude oil price; and
- a model depending only on the above interaction.
The first model assumes that the influences of exchange rate and crude oil price are independent. A moment’s thought reveals that this cannot be a particularly good model, since the effects of these two quantities must be inextricably linked. However, as we will see, the model provides a relatively good fit to the data, but probably will not extrapolate effectively.
fit.1 <- lm(ULP_Inland_95 ~ DollarPerBarrel + ZARUSD, data = fuel.data)
summary(fit.1)Call:
lm(formula = ULP_Inland_95 ~ DollarPerBarrel + ZARUSD, data = fuel.data)
Residuals:
Min 1Q Median 3Q Max
-2.1686 -0.2130 0.1724 0.4877 1.1874
Coefficients:
Estimate Std. Error t value Pr(>|t|)
(Intercept) -6.210351 0.446422 -13.91 <2e-16 ***
DollarPerBarrel 0.075478 0.003091 24.42 <2e-16 ***
ZARUSD 1.093711 0.051210 21.36 <2e-16 ***
---
Signif. codes: 0 ‘***’ 0.001 ‘**’ 0.01 ‘*’ 0.05 ‘.’ 0.1 ‘ ’ 1
Residual standard error: 0.7103 on 105 degrees of freedom
(72 observations deleted due to missingness)
Multiple R-squared: 0.9305, Adjusted R-squared: 0.9292
F-statistic: 702.9 on 2 and 105 DF, p-value: < 2.2e-16
AIC(fit.1)[1] 237.5634
The second model considers both the independent (additive) effects of exchange rate and crude oil price as well as their joint (multiplicative) effect. The p-values in the summary output below indicate that only the multiplicative term is statistically significant. This provides a motivation for the third model.
fit.2 <- lm(ULP_Inland_95 ~ DollarPerBarrel * ZARUSD, data = fuel.data)
summary(fit.2)Call:
lm(formula = ULP_Inland_95 ~ DollarPerBarrel * ZARUSD, data = fuel.data)
Residuals:
Min 1Q Median 3Q Max
-2.2018 -0.3598 0.1219 0.4863 1.0814
Coefficients:
Estimate Std. Error t value Pr(>|t|)
(Intercept) 2.285115 1.599475 1.429 0.156
DollarPerBarrel -0.019958 0.017625 -1.132 0.260
ZARUSD 0.050663 0.195616 0.259 0.796
DollarPerBarrel:ZARUSD 0.011591 0.002115 5.481 2.97e-07 ***
---
Signif. codes: 0 ‘***’ 0.001 ‘**’ 0.01 ‘*’ 0.05 ‘.’ 0.1 ‘ ’ 1
Residual standard error: 0.6287 on 104 degrees of freedom
(72 observations deleted due to missingness)
Multiple R-squared: 0.9461, Adjusted R-squared: 0.9445
F-statistic: 608.3 on 3 and 104 DF, p-value: < 2.2e-16
AIC(fit.2)[1] 212.1551
The third and final model uses only the interaction between exchange rate and crude oil price. The summary output below indicates that for this model the coefficients associated with both the intercept and interaction terms are significant.
fit.3 <- lm(ULP_Inland_95 ~ DollarPerBarrel:ZARUSD, data = fuel.data)
summary(fit.3)Call:
lm(formula = ULP_Inland_95 ~ DollarPerBarrel:ZARUSD, data = fuel.data)
Residuals:
Min 1Q Median 3Q Max
-2.06270 -0.27476 0.08142 0.44747 1.35974
Coefficients:
Estimate Std. Error t value Pr(>|t|)
(Intercept) 1.9443004 0.2043706 9.514 6.98e-16 ***
DollarPerBarrel:ZARUSD 0.0102018 0.0002601 39.224 < 2e-16 ***
---
Signif. codes: 0 ‘***’ 0.001 ‘**’ 0.01 ‘*’ 0.05 ‘.’ 0.1 ‘ ’ 1
Residual standard error: 0.6808 on 106 degrees of freedom
(72 observations deleted due to missingness)
Multiple R-squared: 0.9355, Adjusted R-squared: 0.9349
F-statistic: 1539 on 1 and 106 DF, p-value: < 2.2e-16
AIC(fit.3)[1] 227.4323
Based on standard metrics all three of these models are reasonable approximations to the data. The principle of parsimony suggests that of Models 2 and 3 the latter should be preferred (especially in light of the fact that the coefficients for the extra terms in Model 2 are not significant).
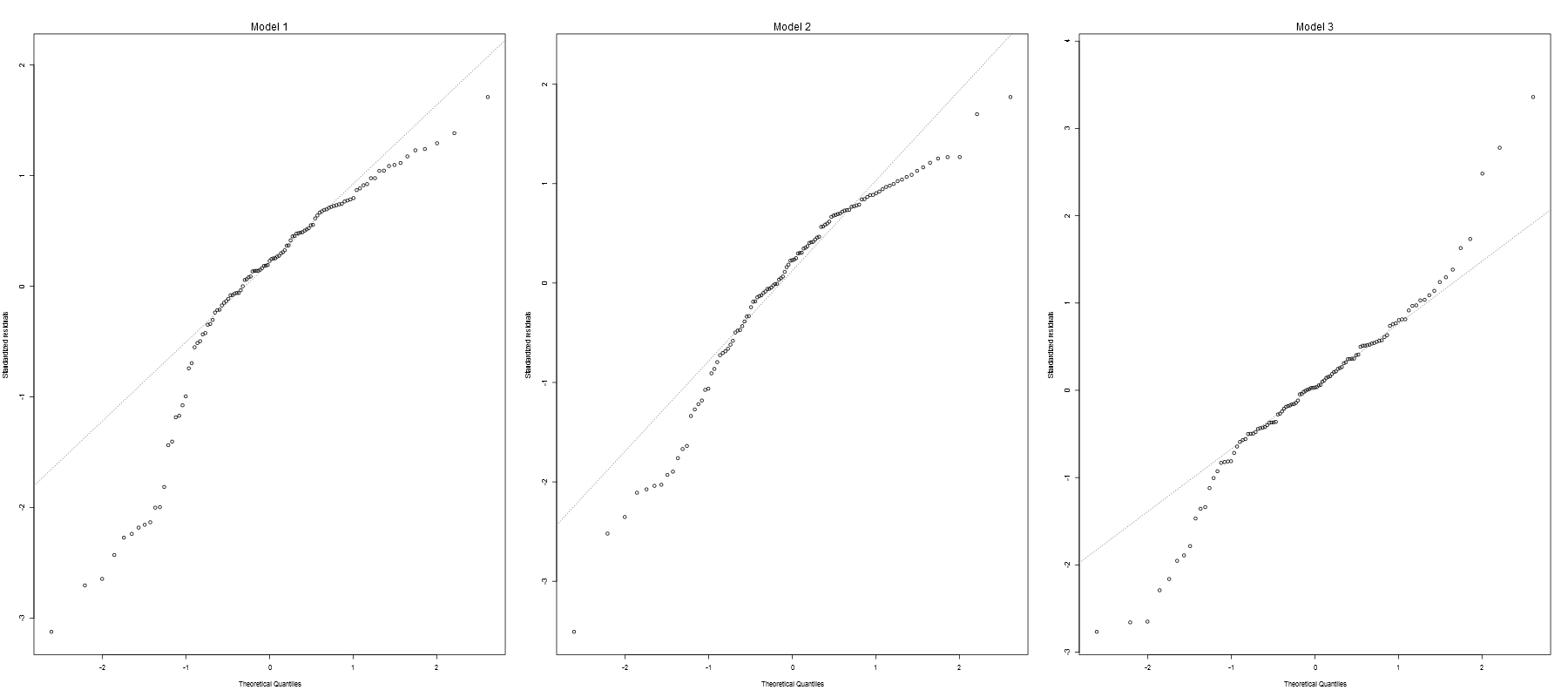
The quantile-quantile plots for the standardised residuals of the three models are given below. Both Model 1 and Model 2 have residuals which are skewed to the left. The distribution of residuals for Model 3 is close to normal but with heavy tails (large kurtosis).

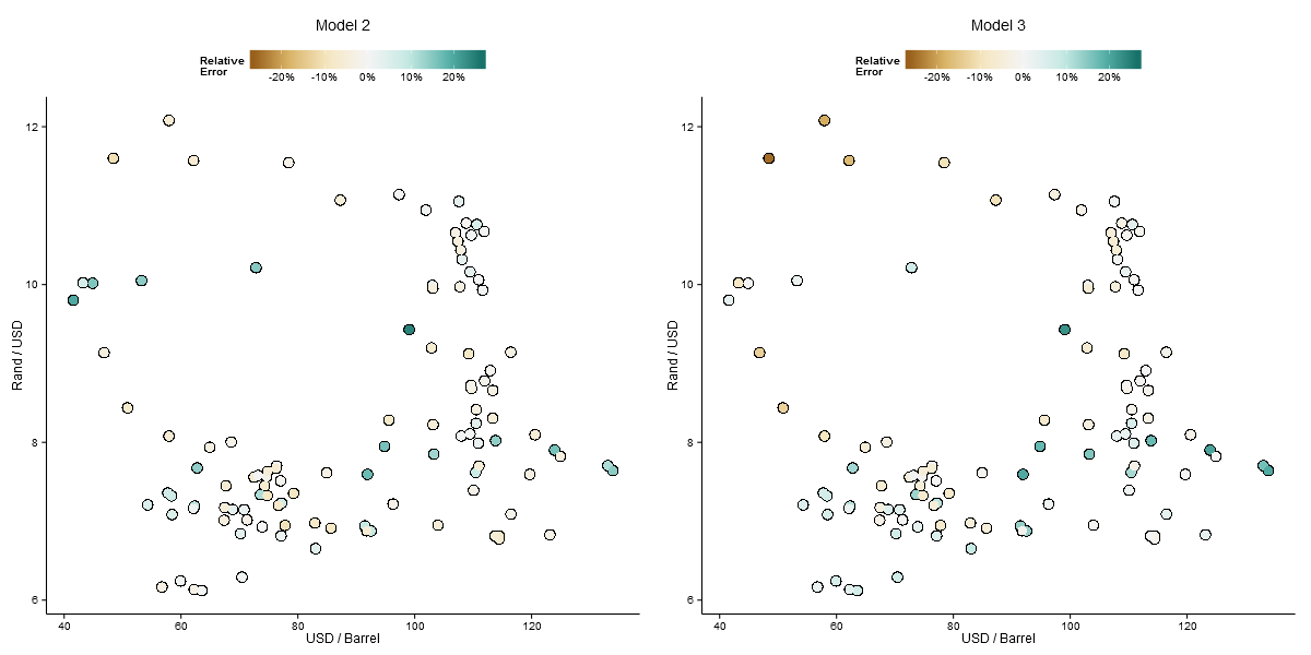
The next set of plots show the relative errors for Models 2 and 3. For Model 3 there is a gradient from negative errors in the top left corner of the plot to positive errors in the bottom right corner. This indicates that Model 3 is systematically failing to capture some of the underlying variation in the data. The relative error for Model 2 does not display a similar pattern.

Despite the simplicity of Model 3, Model 2 provides a better description of the data. The pattern of relative errors for Model 1 is similar to that for Model 2.
Model Projections
What do these models tell us?
The plots below show the predictions based on Models 1 and 2. The points indicate the data used to derive the models. The dashed lines denote contours of constant fuel price. The linear and hyperbolic shapes of the contours reflect the form of the underlying models.
It’s dangerous to extrapolate too far beyond the domain covered by your data. However, the general trend of both models is obvious: increases in either the crude oil price or the ZAR/USD exchange rate will result in higher fuel costs. Let’s consider some individual test cases. Suppose the price of crude oil remained around 60 USD per barrel but the ZAR/USD exchange rate went up to R15 per $1. In this case Model 1 predicts that the fuel price would reach R14.70 per litre, while Model 2 predicts R13.45 per litre. We’ve been in this regime before and it wasn’t pleasant! Another scenario to consider would be the ZAR/USD exchange rate staying at around R12 per $1 but the price of crude oil going up to 160 USD per barrel. In this case Model 1 predicts that the fuel price would reach R19.00 per litre, while Model 2 predicts R21.10 per litre. Either of those is rather daunting. Finally, what would happen if the price of crude oil went up to 160 USD per barrel and the ZAR/USD exchange rate hit 15? Under these conditions Model 1 predicts R22.30 per litre, while Model 2 gives R26.20 per litre. Those are both pretty appalling!

Conclusions
These models only consider the effects of the international price of crude oil and exchange rates. Effects like the fuel price increases in March and April 2015, which were based on budgetary decisions, are of course not accounted for. Predictions should thus be treated with a healthy dose of skepticism. But as a general guide to the possible fuel prices we could expect in the future, it’s quite illuminating. And not a little bit scary.