Private Security and the Pareto Principle
Private Security is a big industry in South Africa. Most Private Security companies promise to provide a rapid response to every callout generated by any of their customers. There is a delicate balance between the number of response vehicles and the number of customers (and the frequency of their callouts!), which determines whether or not they are able to honour this promise.
On the one hand, more response vehicles result in lower response times. However, these vehicles are expensive to maintain and staff. Fewer vehicles are more cost effective, but make it difficult to maintain a high level of service.
On the other hand, more customers mean higher revenue, but also more callouts. Fewer customers generate less frequent callouts, placing lower demands on the response vehicles, but also bring in less revenue.
It’s fairly easy to find the number of vehicles required to satisfy the requirements of the average customer. However, the idea of the average customer can be a tricky one. The vast majority of customers will generate only a few callouts per month. In fact, many of them won’t generate any callouts at all. However, there are some which will generate a very large number. It’s these overactive customers which are expensive to serve and who make it challenging to maintain a high level of service across the entire customer base.
Let’s look at some data to try and get a clearer understanding of the problem.
Distribution of Callouts
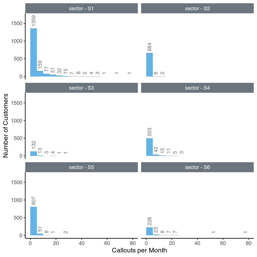
The plot below is a histogram showing the distribution of customers broken down by the number of callouts in a single month. It’s apparent that the vast majority of customers only generate a few callouts (the first bar). These do not place a burden on the response fleet. They are the good customers. But there’s a long tail of callout counts, with some customers generating tens of callouts. They are the bad customers: they place disproportionate demands on the response fleet. Many of these callouts are false alarms, possibly due to customer negligence or faulty equipment.

If we break those data down by spatial sector then we see that a similar pattern applies across all areas.

Is there a more useful view of these data?
The Pareto Principle
The Pareto principle states that for many phenomena 20% of the causes are responsible for 80% of the effects. It’s also known as “the 80:20 rule” or the “law of the vital few”. Here are some examples:
- 80% of wealth is owned by 20% of the population;
- 80% of the work is done by 20% of employees;
- 80% of sales come from 20% of customers;
- 80% of sales come from 20% of products; and
- 80% of complaints come from 20% of customers.
Does the Pareto Principle also apply to the Private Security industry? Are 80% of callouts due to 20% of customers? Let’s take a look.
The plot below represents the same data, but organised in such a way as to reflect the proportion of callouts versus the proportion of customers. The customers are sorted in descending order according to the number of callouts, with the most active customers on the left and the least active on the right.
It’s evident that the Pareto Principle does indeed apply: the shaded area covers the top 20% of customers, who accoun—t for almost precisely 80% of the callouts.

There appear to be “straight” portions of this curve, for which there is a logical explanation. The flat portion (at the right) corresponds to the large proportion of customers who did not generate a single callout during the month. The adjacent straight segment corresponds to those customers with only a single callout. Next to that is another (shorter) straight segment for customers with two callouts. There follows other (even shorter) segments of customers with three, four, five and more callouts in the month.
If we, once again, break these data down by sector then we can confirm that the Pareto Principle applies rather well in each area too.

Conclusion
By using the simple and well established ideas behind the Pareto Principle it’s possible for a Private Security company to achieve serious efficiencies. If the vast majority of callouts are being generated by a relatively small subset of customers, then addressing these errant customers (perhaps by education or culling or fixing defective equipment) can result in significantly lower demands on response vehicles, making it easier to honour promises and potentially making it possible to reduce the size of the response vehicle fleet.
At Exegetic Analytics we have been helping Private Security companies to apply analyses like this to streamline their operations.
